Roam Tokenomics
4.5 Tokenomics Models
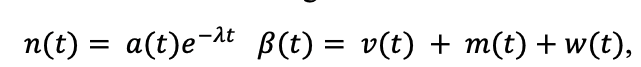
$ROAM$'s basic token generation formula is defined as follows:

the number of tokens generated at any given moment, π(π) represents the time 0 rate, Ξ» is the decay constant, and

is the adjustment factor where π«(π) is mining difficulty and

is the high-water mark mining difficulty. π(π) is the number of tokens awarded to the validators, π(π) is the number of tokens awarded to the miners, and π(π) is the number of tokens awarded to other roles and generated by staking processes.
The total amount of tokens in circulation is defined as:
πΏ(π‘) = πΏ(π‘ β 1) + π(π‘) + π (π‘) + π(π‘), where πΏ(π‘) is the total number of tokens in circulation, π (π‘) is the net number of staked tokens, and π(π‘) is the number of recycled tokens. π(π‘)is the total number of miners in service, counted via the heartbeat of the mining devices. π(π‘) is the price of the token,

where V(t) is the value of the network as defined in Chapter 2.

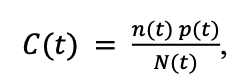
the weighted number of VPs collected in 1000 seconds at time slot π‘, where π(π‘) is the quality factor, π (π‘) is the density factor, and π(π‘) is the number of VPs collected at time slot t.

the average π(π‘) in 1000Β² seconds, or 1 million seconds in total length.

the average mining rewards received per miner.
πΎ(π‘), the ratio between the number of users and the number of validators.

4.5.2 Difficulty Adjustment
The token incentive is the key economical factor motivating a DePIN system. With the growth or shrinkage of the network, the incentive amount and targets shall be adjusted accordingly to ensure the efficiency of the incentivization. Bitcoin has demonstrated this theory in the past decades, as its token generation difficulty level has been dynamic to the networkβs computing power to ensure roughly the same block production time. Inspired by this mechanism, Roam also implements a difficulty adjustment feature. Its goals are as follows:
i) When the network scale shrinks, the token release schedule has to be adjusted to reduce the selling pressure in the market and protect the token price if possible. However, such reduction in the token releasing amount shall not hurt the income of valuable miners, particularly when the price is also dropping;
ii) When the token price goes down over time, find a mechanism to allow average mining income for miners to bounce back to support the continuous prosperity of the community;
iii) Strengthen the incentive for miners who offer network services to high traffic areas, and gradually eliminate the weak miners who provide a network without much usage. However, when the traffic bounces back, their rewards bounce back as well.
The implementation of the difficulty adjustment is as follows:
After every 1 mission seconds, will be compared with the previous historical high of

If π·(π‘) is equal to or larger than

, π½(π‘) will be 1, otherwise,

will be added to π(π‘) in the next 1 million seconds. Basically, it will increase πΆ(π‘) for the miners who still deliver effective network services.
When the token price is increasing, π(π‘) goes up typically and π(π‘) goes down, and as a result πΆ(π‘) will drop and eventually, some miners will be taken out of the market as their rewards will be barely minimum if they do not contribute valuable network coverage and handle large traffic. Then, π(π‘) is expected to drop or increase slowly, and πΆ(π‘) will become attractive again.
When the token price is decreasing, π(π‘) is expected to drop or increase slowly, and through difficulty adjustment, π(π‘) will eventually increase and πΆ(π‘) will become attractive again.

In the above simulation event, when π½(π‘) drops to 0.3 (lowest point), assuming the network scales down and π(π‘) drops proportionally, n(t) will drop to ~ 36% of the reference case (no difficulty adjustment) and n(t)/N(t) will be ~20% higher than the reference case (no difficulty adjustment). This proves that the miners providing more valuable network coverage will receive more financial incentives to offset the drop in token price when the network shrinks. At the same time, the overall amount of tokens released is reduced in this scenario to alleviate the selling pressure in the market. In terms of accumulated released tokens, the actual releasing curve is lower than the reference curve, which means that the token release will be delayed, though the gap between these two curves will be reduced over time due to a higher token release rate once the network scaling speed resumes.
Besides the scale of the network, the scale of Roam Points staking pool shall also be considered as a parameter to track. If the size of the staking pool shrinks, less ecosystem value will be accrued to $ROAM tokens, in this case, the difficulty adjustment shall include this factor to reduce the corresponding $ROAM release. However, it shall reward the participants who continue to accrue the network value to $ROAM and their average income shall be increased. The same process as defined for the impact of network size will be introduced.
4.5.3 Introduction of Non-Fungible Tokens (NFTs)
Section 4.5.1 explained that the mining rewards from Roam network will be prioritized for the mining devices deployed where thereβs a lot of foot traffic. What if a miner host does not own this kind of site but still wants to deploy their device in a premium, high-traffic location? In this situation, he or she could purchase a Roam NFT, which is bonded to a particular mining device and receives all of the mining rewards generated by this device. This situation happens when a business deploys Roam WiFi products solely for better WiFi services or for OpenRoaming/the associated applications. Sales and deployment agents will conduct the work of setting up a Roam miner/WiFi network at businesses. NFT holders will essentially support such deployment and in return, receive the mining rewards made by the business-site miners. The Roam Foundation will manage the bonding relationship and present it on the blockchain. The other purpose of Roam NFTs is to represent holdersβ βOGβ community status. NFT holders will receive airdrops, enjoy the free passes to community events, and own the right to vote in the community. They can also stake their NFTs to receive $ROAM as a reward for their early support for MetaBlox.